- Messaggi
- 26,927
- Reazioni
- 14,675
- Punteggio
- 244
la nuova serie di CPU Intel che uscirà a fine settembre (disponibilità ottobre)Scusa che cos'è Raptor lake?
Segui il video qui sotto per vedere come installare il nostro sito come web app sulla tua schermata principale.
Nota: Questa funzionalità potrebbe non essere disponibile in alcuni browser.
Pubblicità
la nuova serie di CPU Intel che uscirà a fine settembre (disponibilità ottobre)Scusa che cos'è Raptor lake?
Che significa questa frase ? Perché pensi che qui siamo tutta gente che non ne sa nulla di hardware & software ? Quando io smanettavo con l'hardware i ragazzi di prodigeek giocavano alle console e facevano le medie. Io in questo forum sono l'ultima ruota del carro, ci stanno utenti che montavano pc mentre io andavo alle medie. Quindi ti do un umile consiglio, se sei qui su questo forum approfittane per imparare, cose che sicuramente non apprenderesti dai video su youtube ( a meno che sai dove cercare ).Beh loro se ne intendono ,qualche errore ci può stare,poi Lorenzo dei prodigeek faceva parte di Tom's hardware fino a poco tempo fa,siccome non sono un esperto Li seguo per avere qualche consiglio
si, ho un PC con una 3060 Ti ed a 1440P va benissimo con ogni gioco attuale.In teoria la 3060 ti non dovrebbe reggere anche 1440p?ho visto benchmark su YouTube ,e reggeva benissimo questa risoluzione
l'upgrade più sensato è verso il 5600x ma dovresti aggiornare il biosCiao a tutti ragazzi avevo intenzione di cambiare il processore ,attualmente ho il ryzen 5 2600,cercavo un processore recente non troppo costoso,il PC principalmente lo uso per giocare,quale dovrei prendere ?la mia configurazione è alimentatore 400 watt,GTX 1660 super msi ,RAM ballistix 3200 MHz,SSD crucial 256 GB,scheda madre msi b450m pro vdh max,ryzen 5 2600 ,case aerocool shard .grazie per eventuali risposte
l'upgrade più sensato è verso il 5600x ma dovresti aggiornare il bios
la scheda madre è molto basica non esagererei con il processoreMeglio ancora il 5700x che grazie hai 2 core in più può fare più cose in ambito lavorativo, con questa nuova gen di AMD il blocco completo CPU/main board /ram ti partono come minimo 900 euro….se qualcuno pensa di risparmiare comprando raptor lake ( non contando se sarà superiore oppure no) sta sbagliando ed anche di tanto…
Comunque di una cosa ne sono sicuro in multithreading questi AMD saranno imbattibili!
Inviato da iPhone tramite App ufficiale di Tom\'s Hardware Italia Forum
Non ho detto che qui c'è gente che non sa fare nulla,altrimenti non scrivevo qui su questo forum,ho scritto apposta qui per vedere opinioni differenti,i canali che hai linkato non li seguo,ci darò un occhiataChe significa questa frase ? Perché pensi che qui siamo tutta gente che non ne sa nulla di hardware & software ? Quando io smanettavo con l'hardware i ragazzi di prodigeek giocavano alle console e facevano le medie. Io in questo forum sono l'ultima ruota del carro, ci stanno utenti che montavano pc mentre io andavo alle medie. Quindi ti do un umile consiglio, se sei qui su questo forum approfittane per imparare, cose che sicuramente non apprenderesti dai video su youtube ( a meno che sai dove cercare ).
Concludo dicendo che i prodigeek tutto sommato non hanno un canale da evitare, non fanno disinformazione, però è anche vero che non puoi prendere tutto quello che dicono come verità assoluta.
Qui sul forum ci sono molte più persone esperte che si confrontano, che creano dibattiti tra esperti e quello che ne esce è sempre "una quasi certezza" perché sono più pensieri di più esperti, mentre su youtube hai un tizio che non deve confrontarsi con nessuno e dice la sua su un argomento.
Infine ti consiglio questi quattro canali youtube che sono il "santo graal" del hardware & software:
- https://www.youtube.com/c/Hardwareunboxednow
- https://www.youtube.com/c/GamersNexus
- https://www.youtube.com/c/LinusTechTips
e infine il mio preferito, un canale gestito da più persone, io però guardo solo i video di Jim e ti metto il link del canale con un suo video
-
Cambiavo anche quella se necessariola scheda madre è molto basica non esagererei con il processore
Invece un canale italiano valido?Che significa questa frase ? Perché pensi che qui siamo tutta gente che non ne sa nulla di hardware & software ? Quando io smanettavo con l'hardware i ragazzi di prodigeek giocavano alle console e facevano le medie. Io in questo forum sono l'ultima ruota del carro, ci stanno utenti che montavano pc mentre io andavo alle medie. Quindi ti do un umile consiglio, se sei qui su questo forum approfittane per imparare, cose che sicuramente non apprenderesti dai video su youtube ( a meno che sai dove cercare ).
Concludo dicendo che i prodigeek tutto sommato non hanno un canale da evitare, non fanno disinformazione, però è anche vero che non puoi prendere tutto quello che dicono come verità assoluta.
Qui sul forum ci sono molte più persone esperte che si confrontano, che creano dibattiti tra esperti e quello che ne esce è sempre "una quasi certezza" perché sono più pensieri di più esperti, mentre su youtube hai un tizio che non deve confrontarsi con nessuno e dice la sua su un argomento.
Infine ti consiglio questi quattro canali youtube che sono il "santo graal" del hardware & software:
- https://www.youtube.com/c/Hardwareunboxednow
- https://www.youtube.com/c/GamersNexus
- https://www.youtube.com/c/LinusTechTips
e infine il mio preferito, un canale gestito da più persone, io però guardo solo i video di Jim e ti metto il link del canale con un suo video
-
Cambiavo anche quella se necessario
Prodigeek è valido, ma nettamente inferiore a quelli che ti ho postato io. Se non sai bene l'inglese, ti consiglio di continuare a seguire loro che almeno non fanno disinformazione. Solo tieni in considerazione che spesso esagerano e non sono oggettivi.Non ho detto che qui c'è gente che non sa fare nulla,altrimenti non scrivevo qui su questo forum,ho scritto apposta qui per vedere opinioni differenti,i canali che hai linkato non li seguo,ci darò un occhiata
--- i due messaggi sono stati uniti ---
Cambiavo anche quella se necessario
--- i due messaggi sono stati uniti ---
Invece un canale italiano valido?
C'è anche basementech,saddytech,Tom's hardware,blink46 ,morethantech di italianiProdigeek è valido, ma nettamente inferiore a quelli che ti ho postato io. Se non sai bene l'inglese, ti consiglio di continuare a seguire loro che almeno non fanno disinformazione. Solo tieni in considerazione che spesso esagerano e non sono oggettivi.
Blink46 è un ragazzo che porta contenuti non educativi. Per esempio lui che monta il nuovo pc del nipote, la sua nuova postazione da 1000000 euro e video del genere. Non puoi imparare nulla da quel canale, certo intrattiene e lui sa il fatto suo ma finisce li.C'è anche basementech,saddytech,Tom's hardware,blink46 ,morethantech di italiani
ma per favore non confondiamo le cose serie con quelle meno serie... ?...saddytech,...
si, ma qui l'inesattezza l'hai detta tu.Se attivi il dlss in 1440p, non stai giocando più in 1440p nativo. Io non ho mai nominato il dlss, io parlavo di potenza pura in risoluzione nativa.
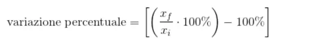
Dove hai preso questo valore 15% ?? Hai una fonte ?

Ma scusami @Max(IT) quel 13% non è la differenza, devi fare 100% / 87% e ti esce 1,1494 quindi un 15% più veloce. E Quel 15% incrementa quando si attiva il raytracing o si passa al 2160p.ma per favore non confondiamo le cose serie con quelle meno serie... ?
si, ma qui l'inesattezza l'hai detta tu.
Tra una 3060 Ti ed una 3070 la differenza a 1440P è anche MENO del 15%
Visualizza allegato 440703
peraltro da possessore di 3070 e 3060Ti posso tranquillamente affermare che la 3070 non ha alcun senso: di fatto la 3060Ti è davvero identica.
Ma scusami @Max(IT) quel 13% non è la differenza, devi fare 100% / 87% e ti esce 1,1494 quindi un 15% più veloce. E Quel 15% incrementa quando si attiva il raytracing o si passa al 2160p.

Ed io insisto dicendo che ha ragione lui: non cambia praticamente nulla.Non fraintendermi anche tu, il tutto è nato perché un utente ha detto che la rtx 3060ti è una rtx 3070, e io ho provato a spiegargli che non era vero.
Certo, sono entrambe sullo stesso chip grafico GA104 ma la rtx 3060ti è la versione castrata, di poco ma sempre castrata è.
Sono d'accordissimo su chi dice che la rtx 3060ti ha un rapporto prestazioni/prezzo superiore alla rtx 3070, ma se la differenza non è molta ( intendo il prezzo ) e si ha la disponibilità economica sarebbe sempre meglio puntare sulla rtx 3070 perché quel 15% può sembrare poco come valore, ma quando si sta giocando a giochi come cyberpunk 2077 in 1440p e si sta cercando di tenere i 60 fps fissi con settaggi alti e raytracing, quel 15% in più aiuta molto a stare sopra i 60 fps senza sacrificare troppo i settaggi grafici.

A parte questa rivisitazione matematica tutta tua ?, francamente non capisco tutta questa filippica per non ammettere che hai scritto un inesattezza: l’utente aveva scritto esattamente 15% e tu hai chiesto “dove l’avresti trovato quel 15%” ?Un ultima cosa, lo dico per tutti, se utilizzate techpowerup non prendete quelle % come la differenza effettiva, lo stesso sito dice che non è la % di differenza ma è un valore che deve essere calcolato con quel numero.
Esempio pratico:
Sulla pagina della rtx 3070 abbiamo 100% e nel grafico troviamo la rtx 3060ti a 87%, il calcolo è il seguente: 100 / 87 = 1,1494 ecc se il primo numero prima della virgola è 1 viene ignorato, se è 2 significa che abbiamo superato il 100% di differenza cioè il doppio delle performance, in questo caso però va preso in considerazione solo i primi tre numero dopo la virgola e si calcola per eccesso, quindi il risultato è 15%.

