alex87alex
Utente Èlite
- Messaggi
- 1,554
- Reazioni
- 300
- Punteggio
- 64
L'ho preso da amazon, se il gioco non vale la candela sono sempre in tempo a farmi rimborsare :asd:
Segui il video qui sotto per vedere come installare il nostro sito come web app sulla tua schermata principale.
Nota: Questa funzionalità potrebbe non essere disponibile in alcuni browser.
Pubblicità
Appunto, prendersi un DAC di fascia inferiore per stare dietro all'MQA per me non ha senso visto che non darà mai un apporto udibile rispetto ai già presenti Flac 44.1/16, l'unico motivo per il quale pubblicizzano tanto l'MQA è solo per risparmiare banda (loro).Poi non capisco alla fine cosa c'è di male: paghiamo la mensilità di Tidal, dovendo cambiare dac dovremmo acquistare qualcosa che massimizzi la resa dell'impianto o no?
Sul mio impianto un file da 16/44 rispetto ad un 24/192 suona diverso ;)Appunto, prendersi un DAC di fascia inferiore per stare dietro all'MQA per me non ha senso visto che non darà mai un apporto udibile rispetto ai già presenti Flac 44.1/16, l'unico motivo per il quale pubblicizzano tanto l'MQA è solo per risparmiare banda (loro).
Sigh... è una frase così errata che non saprei nemmeno da dove iniziare...Non ci vuole molto, basta prendere lo stesso brano...
allora, dipende dalla registrazione, mettiamola cosí. Come ho scritto anche in un altro post (qui: https://www.tomshw.it/forum/threads/file-flac-24-bit-conviene-veramente.681539/#post-6593505 ), i master vengono tutti presi in genere a 24 bit quindi il 44.1/16 é un downscale. Bisogna logicamente vedere come é fatto questo downscale, se le frequenze della banda sono tagliate a 20kHz, a meno che tu non abbia l'udito di un cane o di un pipistrello, le differenze non esistono. Ho trovato alcuni downscale a 44.1 che invece iniziano il roll off delle frequenze giá a 19kHz, e li su un impianto di fascia alta la differenza e con un udito in ottime condizioni si puó notare, ma si parla appunto di conversioni fatte male, un 96kHz permette se non altro una lineare copertura della banda 20Hz-20kHz.Un brano registrato a 24 e downscalato a 16 suona in modo diverso. Ti invito a fare la stessa prova su impianti di un certo livello, ovvio che su un mini hifi tutto suona uguale ;)
http://www.tnt-audio.com/intervis/digido.html
Leggiti i link che ti ho messo sopra per dare una base tecnica alla discussione e per cortesia non fare come tanti personaggi che a corto di argomenti iniziano subito attaccando l'impianto o l'udito dell'interlocutore, è una cosa che mi fa perdere rispetto nelle persone mooooolto velocemente. ;)Un brano registrato a 24 e downscalato a 16 suona in modo diverso. Ti invito a fare la stessa prova su impianti di un certo livello, ovvio che su un mini hifi tutto suona uguale ;)
http://www.tnt-audio.com/intervis/digido.html
Tempo di mettere in mostra le mie poche e ben confuse nozioni di teoria dei segnali. :asd: (poi sono sicuro che mi correggerai gli strafalcioni)allora, dipende dalla registrazione, mettiamola cosí. Come ho scritto anche in un altro post (qui: https://www.tomshw.it/forum/threads/file-flac-24-bit-conviene-veramente.681539/#post-6593505 ), i master vengono tutti presi in genere a 24 bit quindi il 44.1/16 é un downscale. Bisogna logicamente vedere come é fatto questo downscale, se le frequenze della banda sono tagliate a 20kHz, a meno che tu non abbia l'udito di un cane o di un pipistrello, le differenze non esistono. Ho trovato alcuni downscale a 44.1 che invece iniziano il roll off delle frequenze giá a 19kHz, e li su un impianto di fascia alta la differenza e con un udito in ottime condizioni si puó notare, ma si parla appunto di conversioni fatte male, un 96kHz permette se non altro una lineare copertura della banda 20Hz-20kHz.
Se si parla di una conversione fatta bene sfido chiunque a trovarmi una differenza, e di certo un dac da 500€ non é neanche lontanamente sufficiente per ció.
Ho sentito comunque dei 16 44.1kHz suonare decisamente e nettamente meglio dei 384kHz 32bit, quindi direi che va anche ad album e a studio, tant'é che alcuni dei miei file di riferimento sono in gran parte 44.1 16.
PS: come dac sui 500€ c'era da considerare anche l'Arcam irDAC e l'Emotiva DC-1.




quotone su questo :sisi:Leggiti i link che ti ho messo sopra per dare una base tecnica alla discussione e per cortesia non fare come tanti personaggi che a corto di argomenti iniziano subito attaccando l'impianto o l'udito dell'interlocutore, è una cosa che mi fa perdere rispetto nelle persone mooooolto velocemente. ;)
Ti amo quando tiri fuori questi argomenti perché fai uscire il nerd che c'é in me :love::love:Tempo di mettere in mostra le mie poche e ben confuse nozioni di teoria dei segnali. :asd: (poi sono sicuro che mi correggerai gli strafalcioni)
Se un file presunto lossless, quindi dai 16/44.1 in su, ha un evidente roll off a 19kHz per me è l'upsampling di un MP3 o altro formato lossy, oppure una scelta scellerata di mastering che non ha motivazioni tecniche dietro. Per il teorema di Nyquist-Shannon sappiamo che una frequenza di campionamento X sarà sufficiente per campionare perfettamente un segnale analogico di banda limitata la cui frequenza massima è pari a X/2, per tanto con i 44.1kHz è possibile campionare perfettamente fino ai 22.05kHz, ovvero oltre la banda dell'udibile. Frequenze di campionamento maggiori non apportano nulla se non rumore a causa della distorsione di intermodulazione nel caso che le componenti ultrasoniche non venissero filtrate adeguatamente.
Visualizza allegato 273105
Un eccezione è l'oversampling che eseguono la quasi totalità dei DAC moderni per limitare l'aliasing, ma questa è un'altra storia in quanto non aggiunge nulla al segnale originale.




aumenta anche la precisione per la veritá. Quando campioni un segnale c'é un "decisore" che poi alla fine altro non é che l'A/D, che ragiona in modulazione di densitá di impulsi nella maggior parte dei casi (delta-sigma: sigma é la distanza tra gli impulsi e delta sono la funzione matematica "delta di Dirac" o impulso per la quale si moltiplica il segnale da acquisire). Siccome il segnale analogico ha infiniti valori il decisore, chiamiamolo cosí, deve decidere in quanti valori suddividere il segnale, nel caso dei 16 bit saranno 65536 valori possibili, nel caso del 24 bit saranno 16'777'216. Metto un disegno tratto dalle dispense di segnali:Appurato che i 44.1kHz non sono un limite, passiamo ai bit. Con 16bit si ottiene un range dinamico di 96dB e questo lo sappiamo tutti, quello che effettivamente ignoravo è che aumentando il bit depth non aumenta la "precisione" con cui si campiona un segnale come viene comunemente detto ma solo il range dinamico. In teoria i 16bit potrebbero comportarsi a tutti gli effetti come una coperta corta, ovvero nel momento in cui si vuole aumentare il volume di riproduzione ma non si vuole perdere le informazioni a basso volume si finisce inevitabilmente per tagliare e comprimere il segnale (chi ha detto loudness war?).

e qui, tutti d'accordo, l'ho sempre detto anche io, psicoacustica.Se invece il master è eseguito con criterio i 16bit sono più che sufficienti per contenere tutte le informazioni audio, ma non solo, con l'uso intelligente del dithering e del noise shaping è possibile incrementare il range dinamico al punto da coprire l'intera sensibilità dell'orecchio umano.
Da notare che dai test della Boston Audio Society si è appurato che il più alto noise floor del CD (16/44.1) è facilmente riconoscibile rispetto a quello dell'SACD e del DVD-A, ma tralasciando l'assenza di noise shaping nei test della BAS, il vero problema è che per rendersene conto serve riprodurre la sorgente a volumi d'ascolto folli, ovvero passando da una pressione sonora di riferimento di 85-92dB a una di 99-106dB, tanto è vero...
Visualizza allegato 273110
Per concludere in bellezza:
Visualizza allegato 273111
Alla luce di ciò chi sostiene di poter distinguere senza problemi un 16/44.1 da un 24/96 o superiore ignora gli effetti basilari della psicoacustica (io sento perché vedo) o più probabilmente esegue i test in modo errato. ;)
Aggiungo solo una nota di spunto che dovrebbe far riflettere gli afficionados del numerino grosso, perdendo di vista le cose importanti:
Visualizza allegato 273117
PS: Se vedi l'Arcam l'avevo messo, mentre l'Emotiva lo conoscevo già frequentando anche forum a stelle a strisce ma non l'ho aggiunto alla lista perché l'ho trovato in vendita solo dagli USA.
Come si vede che non sei mai passato dalla sezione Fine Tuning di VideoHiFi. :sisi:La conclusione é che il mondo é pieno di ritardati che spendono migliaia di euro per dac e potrebbero ascoltare la stessa cosa con roba da 20 euro..
Ti ringrazio perché mi hai fatto capire meglio la parte sull'oversampling:Ti amo quando tiri fuori questi argomenti perché fai uscire il nerd che c'é in me :love::love:
il ragionamento che dici ha senso, ma non tiene in conto di una cosa... ovvero che il teorema di Nyquist ha un maggiore o uguale, e non un uguale... Se ammettiamo di avere un uguale, le repliche dello spettro del segnale non sarebbero distanziate tra loro, per permettere una riproduzione senza aliasing ci vorrebbe un low pass filter con attenuazione dopo la frequenza di taglio tendente a infinito, e sarebbe irrealizzabile. Nella realtá si lascia una certa fascia di frequenze detta banda di guardia per permettere al filtro di operare, e raggiungere la frequenza di campionamento con ormai una attenuazione di almeno -96dB. Spesso tale banda la si preferisce avere abbastanza ampia, in particolar modo se le frequenze salgono (fare un filtro che taglia in una banda di guardia di 1kHz é sicuramente piú facile per frequenze basse, mentre se parliamo giá di 25kHz, un filtro che tagli in una banda di 1kHz é giá piú difficile da realizzare). A complicare le cose inoltre ci sono altri fattori quali la linearitá del filtro: anche ammettendo di avere un Butterworth, che ha una alta linearitá, un filtro ad elevata pendenza o costa molto in termini di realizzazione, oppure necessariamente in zone prossime alla frequenza di taglio non é lineare, quindi si preferisce avere una banda audio ancora piú restrittiva. Unendo tutti i fattori, un file campionato a 44.1kHz non conterrá mai componenti a 22.05kHz, ma si fermerá ragionevolmente a 21kHz, in alcuni casi alcuni ingegneri del suono a quanto pare hanno deciso di tagliare molto prima a causa probabilmente di attrezzature indegne.
Una completezza, che magari cosí non sembra chiaro... da dove escono l'aliasing e le repliche del segnale? Credo che tutti sanno che campionare un segnale analogico significa prendere un valore ogni tot tempo dettato dalla frequenza di campionamento... Matematicamente come funziona? Si moltiplica il segnale analogico per le delta di Dirac, delle funzioni che sono astrazioni matematiche, chiamate anche impulsi.
Visualizza allegato 273130
Quello che ne esce fuori sará il prodotto del segnale per un treno di delta, che puó essere scritto matematicamente come il segnale x(t) moltiplicato per tante delta. "tante delta" in matematica lo si scrive come la sommatoria per n che va da - infinito a + infinito delle delta di t-nTc, ovvero:
Visualizza allegato 273133
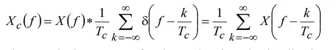
Trasformiamo ora questo segnale con la trasformata di Fourier per ricavarne lo spettro e ragionare d'ora in avanti con lo spettro (visto che parliamo di un range di frequenze da campionare, é giusto parlare di spettri di segnale). La trasformata di una funzione per un treno di delta é la convoluzione di tale segnale con il treno di delta. (l'asterisco é il simbolo della convoluzione)
Visualizza allegato 273136
La convoluzione delle delta con il segnale implica la scomparsa dell’impulso e la traslazione dell’origine della funzione nella posizione in cui è centrato l’ impulso, avendo peró un treno di delta, avremo anche tante repliche quante sono le delta, ciascuna centrata a multipli della frequenza di campionamento. Ecco da dove esce matematicamente fuori Nyquist, se abbiamo tante repliche ciascuna centrata ad esempio a nx44.1kHz, non possiamo campionare frequenze piú alte perché altrimenti sovrapporremmo tali frequenze agli spettri delle repliche, ed ecco da dove nasce l'aliasing. L'oversampling permette tramite una moltiplicazione di aumentare la distanza tra le repliche, permettendo di usare quindi filtri di taglio piú dolci e lineari.
Visualizza allegato 273137
La distanza W é appunto la banda di guardia di cui parlavo prima.
Qui ho frainteso io, rileggendo meglio mi era scappato un "perceptible". :Paumenta anche la precisione per la veritá. Quando campioni un segnale c'é un "decisore" che poi alla fine altro non é che l'A/D, che ragiona in modulazione di densitá di impulsi nella maggior parte dei casi (delta-sigma: sigma é la distanza tra gli impulsi e delta sono la funzione matematica "delta di Dirac" o impulso per la quale si moltiplica il segnale da acquisire). Siccome il segnale analogico ha infiniti valori il decisore, chiamiamolo cosí, deve decidere in quanti valori suddividere il segnale, nel caso dei 16 bit saranno 65536 valori possibili, nel caso del 24 bit saranno 16'777'216. Metto un disegno tratto dalle dispense di segnali:
Visualizza allegato 273127
dove Xq é la funzione discreta quantizzata, X(kTc) é la funzione originaria campionata a frequenza fc=1/Tc e epsilon é l'errore relativo. Ovviamente piú livelli abbiamo e meno l'errore sará evidente, il problema é: un conto é una trasmissione di dati tra macchine, ma secondo voi, le orecchie umane riescono a distinguere correttamente oltre 65536 valori possibili? Fino ad oltre un milione? Qui non si parla di sfumature, qui si parla di errori matematicamente infinitesimi, qui si parla di pazzia se qualcuno mi dice il contrario.

Ho fatto qualche test in laboratorio sui master di registrazione per curiositá insieme al prof, ho portato alcuni brani campionati a 192kHz, ma di componenti ultrasoniche sull'oscilloscopio ce ne erano ben poche, solo alcune code che si estendevano fino a circa 30-35kHz e poi basta, ma giá a 35kHz le code avevano un'ampiezza massima davvero ridottissima. Avevo provato con tre tracce, gli Eagles (welcome to hotel california), un brano di David Bowie che ahimé non ricordo piú quale fosse e un brano di Phil Collins, another day in paradise. Il nostro sospetto é che in qualsiasi caso le case discografiche non registrino effettivamente componenti ultrasoniche ma usino tale banda rimanente come una sorta di oversampling giá preconfezionato, nel caso in cui i dac non dispongano di oversampling on chip. L'attrezzatura usata per i test non é imputabile, abbiamo usato un Benchmark DAC2 (é il dac migliore che gira in laboratorio di processing segnali audio) e un oscilloscopio digitale Rohde & Schwarz di alto livello, rimane solo la registrazione quindi.Come si vede che non sei mai passato dalla sezione Fine Tuning di VideoHiFi. :sisi:
Comunque no, non è assolutamente quella la conclusione, implementare bene un DAC costa e tanto anche, nel 2017 decodificare bene un PCM a 16/44.1 non è un aspetto così scontato.
Ti ringrazio perché mi hai fatto capire meglio la parte sull'oversampling:
https://people.xiph.org/~xiphmont/demo/neil-young.html#toc_o
Correggimi se sbaglio, se non ho frainteso avrebbe senso dire che se la banda di guardia la otteniamo con l'oversampling è meglio in quanto non abbiamo componenti ultrasoniche da filtrare come potrebbe invece capitare con un file originale a 96kHz o più? Inoltre suppongo che l'oversampling semplifichi la vita in fase di progettazione perché i filtri verranno creati per funzionare sempre nelle stesse condizioni, invece in un DAC NOS le condizioni variano in base alla risoluzione del file in ingresso.
si come ti ha detto kha, tutti i chip dac in se costano uno sputo, per una decina di euro se vai su digikey di sabre te ne tirano a dietro una manciata cosí come gli AKM, intanto sono tutti basati su CMOS a modulazione delta sigma, facilissima da realizzare di per se. L'implementazione é invece il fattore che costa assolutamente di piú. Implementare un chip del genere bene significa fargli arrivare una tensione il piú pulita possibile (e questo costa, pensa che un solo condensatore nei casi peggiori puó costare svariate centinaia di euro (i mundorf migliori), e ne servono diversi per fare uno stadio di filtro, cosí come i toroidali, ad esempio i Plitron non li tirano certo in testa), significa curare la sezione di reclocking del segnale e di sincronizzare bene il chip con il resto del sistema, significa progettare da zero una interfaccia per il chip che funzioni e lo faccia bene. E non é una cosa scontata, si sono viste implementazioni dello stesso chip suonare benissimo e altre suonare malissimo, basti pensare che l'AK4490 lo montano sia sul fulla 2 che sull'Esoteric D-02X. Anche usare un condensatore di una marca piuttosto che un'altra pur a paritá di dati di targa varia tonalmente le caratteristiche della risposta in frequenza, quindi c'é un sacco di roba da tenere in conto.La conclusione é che il mondo é pieno di ritardati che spendono migliaia di euro per dac e potrebbero ascoltare la stessa cosa con roba da 20 euro..